[pdf] Free Download Physicochemical And Biological Studies Of Some Schiff Base Complexes

Pdf Synthesis Structural And Biological Studies Of Some - Pdf Synthesis Structural And Biological Studies Of Some

Physicochemical and biological studies of some schiff base complexes

Synthesis Spectral And Thermal Characterization Of Cuii - Synthesis Spectral And Thermal Characterization Of Cuii

Synthesis Characterization And Antibacterial Properties Of - Synthesis Characterization And Antibacterial Properties Of

Peer Reviewed Chemistry Journals Impact Factor Rankings - Peer Reviewed Chemistry Journals Impact Factor Rankings

Synthesis Characterization Crystal Structure And - Synthesis Characterization Crystal Structure And

Pdf Physicochemical Antibacterial Studies Of Some New - Pdf Physicochemical Antibacterial Studies Of Some New

Table 2 From Synthesis Of New Voii Coii Niii And Cu - Table 2 From Synthesis Of New Voii Coii Niii And Cu

Metal Ii Complexes Derived From Naphthofuran 2 - Metal Ii Complexes Derived From Naphthofuran 2

Pharmacological Activity Of A Few Transition Metal Complexes - Pharmacological Activity Of A Few Transition Metal Complexes

Table 1 From Syntheses And Biological Screening Of Schiff - Table 1 From Syntheses And Biological Screening Of Schiff

Synthesis Biological Evaluation And Corrosion Inhibition - Synthesis Biological Evaluation And Corrosion Inhibition

Schiff Bases R ¼ H Ch 3 C 2 H 5 And C 3 H 7 - Schiff Bases R ¼ H Ch 3 C 2 H 5 And C 3 H 7

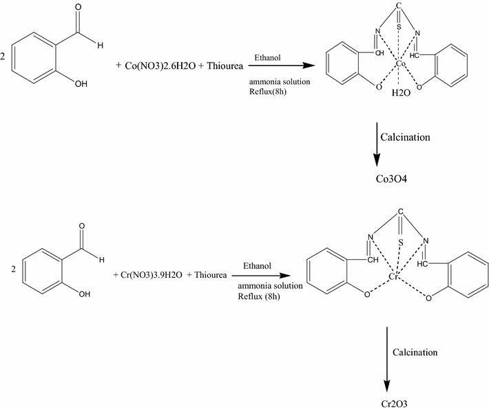
Synthesis Of Coii And Criii Salicylidenic Schiff Base - Synthesis Of Coii And Criii Salicylidenic Schiff Base

Microwave Assisted Synthesis Characterization And - Microwave Assisted Synthesis Characterization And

Design Physicochemical Studies And Dna Interaction Of Some - Design Physicochemical Studies And Dna Interaction Of Some

Zincii Centered Biologically Active Novel Nno Donor - Zincii Centered Biologically Active Novel Nno Donor

Physicochemical And Biological Studies Of Some Schiff Base Complexes Full Book

0 Response to "[pdf] Free Download Physicochemical And Biological Studies Of Some Schiff Base Complexes"

Posting Komentar